Προβλήματα Ιατρικής

Διάδοση πρωτογενών καρκινικών όγκων εγκεφάλου (γλοιωμάτων)

 

Τα γλοιώματα είναι οι πιο κοινοί πρωτογενείς όγκοι εγκεφάλου, προερχόμενα από τα νευρογλοιακά κύτταρα. Το πολύμορφο γλοιοβλάστωμα είναι η πιο κοινή και η πιο επιθετική κακοήθης μορφή γλοιωμάτων (πάνω από 50% όλων των γλοιωμάτων - 100% θανατηφόρα ακόμη και μετά από εκτεταμένη χειρουργική επέμβαση, ραδιοθεραπεία και χημειοθεραπεία). Είναι ξεκάθαρο λοιπόν ότι η διάδοση των γλοιωμάτων είναι ένα εξαιρετικά κρίσιμο πρόβλημα ιατρικής φύσης, το οποίο όμως μπορεί να μελετηθεί με τη βοήθεια μαθηματικών μοντέλων. Το βασικό μαθηματικό μοντέλο, το οποίο βασίστηκε στην ανάλυση δεδομένων αξονικών τομογραφιών, θεωρεί μια ΜΔΕ αντίδρασης και διάχυσης για να μελετήσει κυρίως την εξέλιξη καρκινικών όγκων με διαχυτική επιθετικότητα (όπως το γλοιοβλάστωμα) αλλά και την απόδοση χειρουργικής επέμβασης και χημειοθεραπείας.

Το μοντέλο αυτό επεκτάθηκε πρόσφατα για να συμπεριλάβει την ανομοιογένεια του εγκεφαλικού ιστού, ο οποίος αποτελείται από λευκή και φαιά ουσία, με αποτέλεσμα την εισαγωγή ασυνεχειών στους συντελεστές της ΜΔΕ. Η χρησιμοποίηση του ασυνεχούς σημαντικού αυτού μοντέλου για την επικύρωση των αποτελεσμάτων μας αλλά και η μελέτη εξάπλωσης καρκινικών όγκων εγκεφάλου αποτελούν αντικείμενο της παρούσας ερευνητικής πρότασης.

Η ανάπτυξη ενός επιστημονικού εργαλείου για την προσομοίωση και μελέτη (με υψηλής ακρίβειας μεθόδους) της συμπεριφοράς των γλοιωμάτων, αλλά και της απόδοσης των θεραπευτικών χειρουργικών ή φαρμακευτικών επεμβάσεων, θα συμβάλει στην ποσοτικοποίηση μεγεθών και θα βοηθήσει άμεσα την επιστημονική κοινότητα για την βαθύτερη κατανόηση πολύπλοκων μηχανισμών προς όφελος, φυσικά, των έμμεσα ωφελούμενων ασθενών.

Αναλυτική Περιγραφή

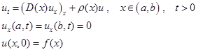
Η ενσωμάτωση της ανομοιογένειας του εγκεφαλικού ιστού (λευκή και φαιά ουσία) στο βασικό μαθηματικό μοντέλο οδηγεί σε ένα πρόβλημα αρχικών και συνοριακών συνθηκών, το οποίο σε μία απλή έκφρασή του (για λόγους εύκολης περιγραφής και μόνον) έχει την μορφή

όπου ο συντελεστής διάχυσης D(x), ο οποίος εκπροσωπεί την κινητικότητα των καρκινικών κυττάρων, ορίζεται ως μία ασυνεχή συνάρτηση της μορφής

Η ασυνέχεια του συντελεστή διάχυσης προκαλεί ασυνέχεια στην ux όπως γίνεται άμεσα αντιληπτό και στις λύσεις που απεικονίζονται για συγκεκριμένα χρονικά διαστήματα στο σχήμα που ακολουθεί.

Γενικεύσεις του παραπάνω μοντέλου που περιλαμβάνουν την ενσωμάτωση χειρουργικής επέμβασης και χημειοθεραπείας, αλλά και την επέκταση σε περισσότερες από μία χωρικές διαστάσεις, (όπου το πρόβλημα αποκτά και  ένα ιδιαίτερο ενδιαφέρον λόγω της εξαιρετικά πολύπλοκης γεωμετρίας του πεδίου) θα χρησιμοποιηθούν για την επικύρωση των αποτελεσμάτων της παρούσας ερευνητικής πρότασης.