Η υφαλμύριση αναφέρεται στην κίνηση του αλμυρού ύδατος εντός υδροφορέων γλυκών υδάτων ή στη διείσδυση αλμυρού ύδατος σε εκβολές ποταμών. Επίσης, αλμυρό νερό μπορεί να εμφανισθεί φυσικά σε νησιωτικούς υδροφορείς και παράκτιες ζώνες, και έχει παρόμοιες επιπτώσεις στη χρήση του υπογείου ύδατος. Η υφαλμύριση αποτελεί σοβαρό πρόβλημα για τους υπόγειους υδροφορείς παράκτιων περιοχών εδώ και πολλές δεκαετίες. Ειδικότερα, το πρόβλημα γίνεται οξύτερο για παράκτιες περιοχές που εξαρτώνται άμεσα από τη χρήση υπογείου ύδατος. Τέτοιες περιπτώσεις εμφανίζονται σε μεγάλο αριθμό στην Ελλάδα λόγω του νησιωτικού χαρακτήρα της, του μεγάλου μήκους της παράκτιας ζώνης και της ανάγκης χρήσης του υπογείου ύδατος, για άρδευση και πόση, σε πολλές περιοχές όπου υπάρχει έλλειψη άλλων υδατικών πόρων. Η αύξηση του πληθυσμού στις περιοχές αυτές, ιδίως τους καλοκαιρινούς μήνες λόγω τουρισμού, και οι αυξημένες ανάγκες για άρδευση έχει σαν αποτέλεσμα την κατανάλωση μεγάλων ποσοτήτων υπόγειου ύδατος γεγονός που συντελεί στο φαινόμενο της υφαλμύρισης λόγω συνεχούς υπεράντλησης.
Οι υπεραντλήσεις σε μεγάλα βάθη των παράκτιων υδροφορέων προκαλούν σημαντική πτώση στάθμης της ελεύθερης επιφάνειας του υπόγειου ύδατος γεγονός που έχει ως αποτέλεσμα την εισροή θαλασσινού ύδατος και την ανάμιξη του με το ύδωρ του υδροφορέα. Πολλές φορές το πρόβλημα παρουσιάζεται εξαιτίας της τυχαίας και ανοργάνωτης εγκατάστασης των φρεάτων άντλησης, και όχι εξαιτίας της μεγάλης συνολικής αντλούμενης ποσότητας.
Η εισροή θαλασσινού ύδατος στους υπόγειους υδροφορείς απειλεί να μετατρέψει πολλές από τις πλέον εύφορες παραλιακές πεδιάδες της Ελλάδας σε υφάλμυρες περιοχές. Πιο συγκεκριμένα απειλούνται πεδιάδες της Κρήτης, της Πελοποννήσου, της Δυτικής Στερεάς Ελλάδας, της Ανατολικής Θεσσαλίας, της Μακεδονίας, της Θράκης και των νησιών του Αιγαίου. Το φαινόμενο αρχικά εμφανιζόταν σε μια λεπτή ζώνη που έφτανε τα πεντακόσια μέτρα από την ακτή. Σήμερα το φαινόμενο έχει επεκταθεί και σε περιοχές της ενδοχώρας και έχει φτάσει ως και επτά χιλιόμετρα από την ακτή. Παρά τη σπουδαιότητα του προβλήματος, τα μέτρα που λαμβάνονται για την αντιμετώπιση του στον Ελλαδικό χώρο είναι από ελάχιστα έως ανύπαρκτα με σοβαρό κίνδυνο μεγάλης οικολογικής καταστροφής.
Καθίσταται συνεπώς σημαντική η ανάπτυξη μεθοδολογίας κατάλληλης διαχείρισης της άντλησης υπόγειων υδάτων ώστε να προστατεύεται ο υδροφορέας από το καταστροφικό φαινόμενο της υφαλμύρισης.
Η μελέτη μη-ομογενών εδαφών, η οποία οδηγεί σε μοντέλα ΜΔΕ με ασυνεχείς συντελεστές, αποτελεί σημαντικής σπουδαιότητας πρόβλημα το οποίο αποτελεί μέρος της επιστημονικής μελέτης του έργου.
Για να μελετηθεί το φαινόμενο της διείσδυσης θαλασσινού ύδατος στους υδροφορείς γίνεται συνήθως η παραδοχή ύπαρξης διεπιφάνειας η οποία διαχωρίζει το γλυκό από το υφάλμυρο ύδωρ έτσι ώστε το φαινόμενο της υφαλμύρισης να προσεγγίζεται από το μοντέλο της αλμυρής σφήνας:
Για την μαθηματική προσομοίωση και μελέτη του προβλήματος αυτού, οι παραδοχές αφενός μεν της ύπαρξης πρακτικά μη-κινούμενης διεπιφάνειας και αφετέρου η σχέση Ghyben-Herzberg αποτελούν δύο από τις πιο κοινές παραδοχές των μοντέλων υφαλμύρισης. Η προσέγγιση αυτή προσομοιάζει συνθήκες ροής οι οποίες τείνουν σε σταθερή κατάσταση (steady state). Σε αυτήν την περίπτωση, μπορούμε να εκφράσουμε τις εξισώσεις σταθερής ροής, στις περιοχές ενδιαφέροντος, με μία εξίσωση δυναμικού ροής, η λύση της οποίας οδηγεί στον εντοπισμό του «μετώπου» της διεπιφάνειας. Με τον τρόπο αυτό, μέσω μεθόδων βελτιστοποίησης, επιτυγχάνεται ο έλεγχος της άντλησης γλυκού ύδατος.
Για να περιγράψουμε λίγο πιο συγκεκριμένα την παραπάνω μεθοδολογία, ας θεωρήσουμε τον ελεύθερο υδροφορέα του παραπάνω σχήματος, από τον οποίο αντλείται ύδωρ από ένα φρέαρ με ρυθμό A και ο οποίος τροφοδοτείται με ύδωρ από την επιφάνεια με ρυθμό F, ενώ η υπόγεια ροή τροφοδοσίας συμβολίζεται με Q. Θεωρώντας τις εξισώσεις σταθερής ροής στις περιοχές 1 και 2 και ορίζοντας την συνάρτηση δυναμικού ροής φ≡φ(x,y) ως:

με δ≅0.025, μπορούμε να αποδείξουμε ότι η φ ικανοποιεί τη διαφορική εξίσωση:

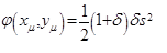
με συνοριακές συνθήκες: φ=0 στο παράκτιο σύνορο της περιοχής 2, φη=0 στα σύνορα μηδενικής ροής και φη=Ν στο σύνορο ροής Q της περιοχής 1 (με φη συμβολίζεται η παράγωγος της φ σε κατεύθυνση κάθετη στο σύνορο και Ν είναι γνωστή συνάρτηση). Η συνάρτηση Κ≡Κ(x,y) συμβολίζει την υδραυλική αγωγιμότητα, και συνεπώς στην περίπτωση ύπαρξης ανομοιογενούς εδάφους παρουσιάζει ασυνέχειες σε κάποια εσωτερικά σύνορα του πεδίου. Παράλληλα, στα σημεία μ≡μ(xμ,yμ) του μετώπου της διεπιφάνειας η φ ικανοποιεί την εξίσωση:
![]()
Η λύση της παραπάνω εξίσωσης ως προς xμ οδηγεί στον εντοπισμό του μετώπου της διεπιφάνειας, δεδομένου βεβαίως ότι έχει επιλυθεί το συνοριακό πρόβλημα και έχει καθοριστεί η συνάρτηση φ. Επισημαίνουμε τη συνέργεια της έρευνας στο πεδίο αυτό με αντίστοιχη έρευνα που έχει προτείνει η ερευνητική μας ομάδα στα πλαίσια του προγράμματος «Ηράκλειτος» για ομογενή εδάφη.
Το τελευταίο στάδιο της προσομοίωσης αναφέρεται στη διαχείριση του υδροφορέα. Για τον σκοπό αυτό χρησιμοποιούνται μέθοδοι βελτιστοποίησης οι οποίες στοχεύουν στην μεγιστοποίηση του ρυθμού άντλησης Α υπό τον περιορισμό (constrain) για παράδειγμα ότι δεν αντλείται υφάλμυρο ύδωρ από το φρέαρ. Για τον σκοπό αυτό θα προσαρμόσουμε και θα χρησιμοποιήσουμε τον στοχαστικό αλγόριθμο βελτιστοποίησης ALOPEX. Ο αλγόριθμος αυτός αποτελεί μία ευέλικτη στοχαστική διαδικασία η οποία έχει χρησιμοποιηθεί με μεγάλη επιτυχία σε ένα ευρύ φάσμα εφαρμογών πραγματικού χρόνου.